Теплотехнический расчет наружной стены, программа упрощает вычисления
Несложные компьютерные сервисы ускоряют вычислительные процессы и поиск нужных коэффициентов. Стоит ознакомиться с наиболее популярными программами.
«ТеРеМок». Вводятся исходные данные: тип здания (жилой), внутренняя температура 20О, режим влажности – нормальный, район проживания – Москва. В следующем окне открывается рассчитанное значение нормативного сопротивления теплопередаче – 3,13 м2*оС/Вт. На основании вычисленного коэффициента происходит теплотехнический расчет наружной стены из пеноблоков (600 кг/м3), утепленной экструдированным пенополистиролом «Флурмат 200» (25 кг/м3) и оштукатуренной цементно-известковым раствором. Из меню выбирают нужные материалы, проставляя их толщину (пеноблок – 200 мм, штукатурка – 20 мм), оставив незаполненной ячейку с толщиной утеплителя. Нажав кнопку «Расчет», получают искомую толщину слоя теплоизолятора – 63 мм
Удобство программы не избавляет ее от недостатка: в ней не принимается во внимание разная теплопроводность кладочного материала и раствора. Спасибо автору можно сказать по этому адресу http://dmitriy.chiginskiy.ru/teremok/
Вторая программа предлагается сайтом http://rascheta.net/. Ее отличие от предыдущего сервиса в том, что все толщины задаются самостоятельно
В расчет вводится коэффициент теплотехнической однородности r. Его выбирают из таблицы: для пенобетонных блоков с проволочной арматурой в горизонтальных швах r = 0,9. После заполнения полей программа выдает отчет о том, каково фактическое тепловое сопротивление выбранной конструкции, отвечает ли она климатическим условиям. Кроме того, предоставляется последовательность вычислений с формулами, нормативными источниками и промежуточными значениями.
Ее отличие от предыдущего сервиса в том, что все толщины задаются самостоятельно. В расчет вводится коэффициент теплотехнической однородности r. Его выбирают из таблицы: для пенобетонных блоков с проволочной арматурой в горизонтальных швах r = 0,9. После заполнения полей программа выдает отчет о том, каково фактическое тепловое сопротивление выбранной конструкции, отвечает ли она климатическим условиям. Кроме того, предоставляется последовательность вычислений с формулами, нормативными источниками и промежуточными значениями.
При возведении дома или проведении теплоизоляционных работ важна оценка результативности утепления наружной стены: теплотехнический расчет, выполненный самостоятельно или с помощью специалиста позволяет сделать это быстро и точно.
Теплотехнический расчет позволяет определить минимальную толщину ограждающих конструкций для того, чтобы не было случаев перегрева или промерзания в процессе эксплуатации строения.
Ограждающие конструктивные элементы отапливаемых общественных и жилых зданий, за исключением требований устойчивости и прочности, долговечности и огнестойкости, экономичности и архитектурного оформления, должны отвечать в первую очередь теплотехническим нормам. Выбирают ограждающие элементы в зависимости от конструктивного решения, климатологических характеристик района застройки, физических свойств, влажно-температурного режима в здании, а также в соответствии с требованиями сопротивления теплопередаче, воздухонипроницанию и паропроницанию.
Для каких проектов применяется расчет строительных конструкций
Расчеты строительных конструкций нужны для любого проекта на новый или существующий объект:
- при строительстве нового здания расчеты являются основанием для выбора всех конструкций и решений;
- при реконструкции определяется возможность или невозможность проведения работ, места замены или усиления конструкций, характеристики материалов;
- при капитальном ремонте по расчетам определяется необходимость замены отдельных видов конструкций;
- при перепланировках расчеты нужны для работ на несущих конструкциях, при разработке усиления на дверных проемах и нишах, при сносе стен и перегородок в помещениях.
Естественно, для косметических работ расчеты не требуются, так как не возникает дополнительного воздействия на конструкции и элементы здания.

Расчеты строительных конструкций нужны для любых видов проектов и работ, от частного дома до промышленного здания
Как делать теплотехнический расчет стен дома
Проведение данных подсчетов должно помочь узнать, одинаковы ли сооружения предъявляемым требования со стороны теплозащиты. Определяет качество создаваемых микроклиматических условий в помещение. Справляется ли система отопления с получением необходимого уровня теплового комфорта.
Чтобы добиться оптимальных условий должен быть создан балансирующий температурный режим между внутренними ограждающими конструкциями и помещением. Если он не воссоздан, то все тепло будет уходить в эти зоны, а до основной жилой части не дойдет.
В результате расчетов получают лучшие варианты для размеров стены, перекрытых по толщине, при этом вычисляются минимальный и максимальный показатель. В итоге соблюдения данных результатов, много лет помещение не будет перемерзать, а также перегреваться.
Чтобы добиться оптимальных условий должен быть создан балансирующий температурный режим между внутренними ограждающими конструкциями и помещением.
Основные параметры необходимые для выполнения расчетов
Теплопередача вычисляется с учетом целого ряда параметров, без которых получить правильные цифры не получится. То, какими они будут, определяет нижеописанные характеристики:
- Предназначение конструкции и ее вид;
- Ориентиры конструкционных ограждений по вертикали соответственно направлению по сторонам света;
- Географическое местоположение планируемого дома;
- Размеров сооружения, сколько этажей будет, общая площадь;
- Виды окон и дверей, которые будут установлены, также их размеры;
- Тип отопления и его технические особенности;
- Сколько людей постоянно будут проживать в данном здании;
- Из какого типа материала, выполненные вертикальные и горизонтальные конструкции, служащие ограждением;
- Вид перекрытие последнего этажа;
- Наличие или отсутствие горячего водоснабжения;
- Какой тип оборудования будет вентилировать дом.
Теплопередача вычисляется с учетом целого ряда параметров, без которых получить правильные цифры не получится.
Тепловые нагрузки объекта
Расчет тепловых нагрузок производится в следующей последовательности.
- 1. Общий объем зданий по наружному обмеру: V=40000 м3.
- 2. Расчетная внутренняя температура отапливаемых зданий составляет: tвр = +18 С — для административных зданий.
- 3. Расчетный расход тепла на отопление зданий:
4. Расход тепла на отопление при любой температуре наружного воздуха определяется по формуле:
где: tвр — температура внутреннего воздуха, С; tн — температура наружного воздуха, С; tн0 — самая холодная температура наружного воздуха за отопительный период, С.
- 5. При температуре наружного воздуха tн = 0С, получим:
- 6. При температуре наружного воздуха tн= tнв = -2С, получим:
- 7. При средней температуре наружного воздуха за отопительный период (при tн = tнср.о = +3,2С) получим:
- 8. При температуре наружного воздуха tн = +8С получим:
- 9. При температуре наружного воздуха tн = -17С, получим:
10. Расчетный расход тепла на вентиляцию:
,
где: qв — удельный расход тепла на вентиляцию, Вт/(м3·К), принимаем qв = 0,21- для административных зданий.
11. При любой температуре наружного воздуха расход тепла на вентиляцию определяется по формуле:
- 12. При средней температуре наружного воздуха за отопительный период (при tн = tнср.о = +3,2С) получим:
- 13. При температуре наружного воздуха = = 0С, получим:
- 14. При температуре наружного воздуха = = +8С, получим:
- 15. При температуре наружного воздуха ==-14С, получим:
- 16. При температуре наружного воздуха tн = -17С, получим:
17. Среднечасовой расход тепла на горячее водоснабжение, кВт:
где: m — число персонала, чел.; q — расход горячей воды на одного персонала в сутки, л/сут (q = 120 л/сут.); с — теплоемкость воды, кДж/кг (с = 4,19 кДж/кг); tг — температура воды горячего водоснабжения, С (tг = 60С); ti — температура холодной водопроводной воды в зимний tхз и летний tхл периоды, С (tхз = 5С, tхл = 15С);
— среднечасовой расход тепла на горячее водоснабжение зимой, составит:
— среднечасовой расход тепла на горячее водоснабжение летом:
- 18. Полученные результаты сведем в таблицу 2.2.
- 19. По полученным данным строим суммарный часовой график расхода тепла на отопление, вентиляцию и горячее водоснабжение объекта:
; ; ; ;
20. На основании полученного суммарного часового графика расхода тепла строим годовой график по продолжительности тепловой нагрузки.
Таблица 2.2 Зависимость расхода тепла от температуры наружного воздуха
Расход теплоты | tнм= -17С | tно= -14С | tнв=-2С | tн= 0С | tср.о=+3,2С | tнк= +8С |
, МВт | 0,91 | 0,832 | 0,52 | 0,468 | 0,385 | 0,26 |
, МВт | 0,294 | 0,269 | 0,168 | 0,151 | 0,124 | 0,084 |
, МВт | 0,21 | 0,21 | 0,21 | 0,21 | 0,21 | 0,21 |
, МВт | 1,414 | 1,311 | 0,898 | 0,829 | 0,719 | 0,554 |
1,094 | 1,000 | 0,625 | 0,563 | 0,463 | 0,313 |
Годовой расход теплоты
Для определения расхода теплоты и его распределения по сезонам (зима, лето), режимов работы оборудования и графиков его ремонта необходимо знать годовой расход топлива.
1. Годовой расход теплоты на отопление и вентиляцию рассчитывается по формуле:
,
где: — средний суммарный расход теплоты на отопление за отопительный период; — средний суммарный расход теплоты на вентиляцию за отопительный период, МВт; — продолжительность отопительного периода.
2. Годовой расход теплоты на горячее водоснабжение:
где: — средний суммарный расход теплоты на горячее водоснабжение, Вт; — длительность работы системы горячего водоснабжения и продолжительность отопительного периода, ч (обычно ч); — коэффициент снижения часового расхода горячей воды на горячее водоснабжение в летний период; — соответственно температуры горячей воды и холодной водопроводной воды зимой и летом, С.
3. Годовой расход теплоты на тепловые нагрузки отопления, вентиляцию, горячее водоснабжение и технологическую нагрузку предприятий по формуле:
,
где: — годовой расход теплоты на отопление, МВт; — годовой расход теплоты на вентиляцию, МВт; — годовой расход теплоты на горячее водоснабжение, МВт; — годовой расход теплоты на технологические нужды, МВт.
МВтч/год.
Формулы для расчётов и справочные данные
Расчет тепловой нагрузки на отопление предполагает определение тепловых потерь(Тп) и мощности котла (Мк). Последняя рассчитывается по формуле:
- Мк – тепловая производительность системы отопления, кВт;
- Тп – тепловые потери дома;
- 1,2 – коэффициент запаса (составляет 20%).
Двадцатипроцентный коэффициент запаса позволяет учесть возможное падение давления в газопроводе в холодное время года и непредвиденные потери тепла (например, разбитое окно, некачественная теплоизоляция входных дверей или небывалые морозы). Он позволяет застраховаться от ряда неприятностей, а также даёт возможность широкого регулирования режима температур.
Как видно из этой формулы мощность котла напрямую зависит от теплопотерь. Они распределяются по дому не равномерно: на наружные стены приходится порядка 40% от общей величины, на окна – 20%, пол отдаёт 10%, крыша 10%. Оставшиеся 20% улетучиваются через двери, вентиляцию.
Плохо утеплённые стены и пол, холодные чердак, обычное остекление на окнах — всё это приводит к большим потерям тепла, а, следовательно, к увеличению нагрузки на систему отопления
При строительстве дома важно уделить внимание всем элементам, ведь даже непродуманная вентиляция в доме будет выпускать тепло на улицу. Материалы, из которых построен дом, оказывают самое непосредственное влияние на количество потерянного тепла. Поэтому при расчётах нужно проанализировать, из чего состоят и стены, и пол, и всё остальное
Поэтому при расчётах нужно проанализировать, из чего состоят и стены, и пол, и всё остальное
Материалы, из которых построен дом, оказывают самое непосредственное влияние на количество потерянного тепла. Поэтому при расчётах нужно проанализировать, из чего состоят и стены, и пол, и всё остальное.
В расчётах, чтобы учесть влияние каждого из этих факторов, используются соответствующие коэффициенты:
- К1 – тип окон;
- К2 – изоляция стен;
- К3 – соотношение площади пола и окон;
- К4 – минимальная температура на улице;
- К5 – количество наружных стен дома;
- К6 – этажность;
- К7 – высота помещения.
Для окон коэффициент потерь тепла составляет:
- обычное остекление – 1,27;
- двухкамерный стеклопакет – 1;
- трёхкамерный стеклопакет – 0,85.
Естественно, последний вариант сохранит тепло в доме намного лучше, чем два предыдущие.
Правильно выполненная изоляция стен является залогом не только долгой жизни дома, но и комфортной температуры в комнатах. В зависимости от материала меняется и величина коэффициента:
- бетонные панели, блоки – 1,25-1,5;
- брёвна, брус – 1,25;
- кирпич (1,5 кирпича) – 1,5;
- кирпич (2,5 кирпича) – 1,1;
- пенобетон с повышенной теплоизоляцией – 1.
Чем больше площадь окон относительно пола, тем больше тепла теряет дом:
Соотношение площади окон к площади пола
Температура за окном тоже вносит свои коррективы. При низких показателях теплопотери возрастают:
Теплопотери находятся в зависимости и от того, сколько внешних стен у дома:
- четыре стены – 1,33;%
- три стены – 1,22;
- две стены – 1,2;
- одна стена – 1.
Хорошо, если к нему пристроен гараж, баня или что-то ещё. А вот если его со всех сторон обдувают ветра, то придётся покупать котёл помощнее.
Количество этажей или тип помещения, которые находится над комнатой определяют коэффициент К6 следующим образом: если над дом имеет два и более этажей, то для расчётов берём значение 0,82, а вот если чердак, то для теплого – 0,91 и 1 для холодного.
Что касается высоты стен, то значения будут такими:
Помимо перечисленных коэффициентов также учитываются площадь помещения (Пл) и удельная величина теплопотерь (УДтп).
Итоговая формула для расчёта коэффициента тепловых потерь:
Тп = УДтп * Пл * К1 * К2 * К3 * К4 * К5 * К6 * К7 .
Коэффициент УДтп равен 100 Ватт/м2.
Как правильно выполнить тепловой расчет здания
Этапы этой работы будут следующими:
- Для начала потребуется тщательно изучить проектный план сооружения, где обязательно должны быть отображены параметры каждого из помещений как изнутри, так и снаружи, а кроме того, должны быть информация о размерах проемов дверей и окон.
- Затем необходимо определить, как именно расположена постройка относительно световых сторон, чтобы иметь сведения о поступающих в комнату прямых солнечных лучах, а также тщательно рассмотреть условия климата в конкретном регионе.
- После этого необходимо уточнить данные о том, из какого материала состоят внешние стены, а также то, какую высоту они имеют.
- Нелишним также будет получить информацию о структуре пола непосредственно от помещения и до самой земли, а также об основе перекрытия, начиная от комнаты и заканчивая улицей.
Виды тепловых нагрузок для расчетов
При осуществлении расчетов и выборе оборудования во внимание принимают разные тепловые нагрузки:
- Сезонные нагрузки, имеющие следующие особенности:
— им присущи изменения в зависимости от температуры окружающего воздуха на улице;
— наличие отличий в величине расхода тепловой энергии в соответствии с климатическими особенностями региона местонахождения дома;
— изменение нагрузки на отопительную систему в зависимости от времени суток. Поскольку наружные ограждения имеют теплостойкость, данный параметр считается незначительным;
— расходы тепла вентиляционной системы в зависимости от времени суток. - Постоянные тепловые нагрузки. В большинстве объектов системы теплоснабжения и горячего водоснабжения они используются на протяжении года. Например, в теплое время года расходы тепловой энергии в сравнении с зимним периодом снижаются где-то на 30-35%.
- Сухое тепло. Представляет собой тепловое излучение и конвекционный теплообмен за счет иных подобных устройств. Определяют данный параметр при помощи температуры сухого термометра. Он зависит от многих факторов, среди которых окна и двери, системы вентиляции, различное оборудование, воздухообмен, происходящий за счет наличия щелей в стенах и перекрытиях. Также учитывают количество людей, присутствующих в помещении.
- Скрытое тепло. Образуется в результате процесса испарения и конденсации. Температура определяется при помощи влажного термометра. В любом по назначению помещении на уровень влажности влияют:
— численность людей, одновременно находящихся в помещении;
— наличие технологического или другого оборудования;
— потоки воздушных масс, проникающих сквозь щели и трещины, имеющиеся в ограждающих конструкциях здания.

Железобетонной панели на гибких связях)
А.
Исходные данные
Место
строительства – г. Пермь.
Климатический
район – I
B
.
Зона
влажности – нормальная .
Продолжительность
отопительного периода zht= 229 сут .
Средняя
расчетная температура отопительного
периода tht=
–5,9 ºС .
Температура
холодной пятидневки text= –35 °С .
Температура
внутреннего воздуха tint= +18 °С .
Влажность
воздуха

= 50 %.
Влажностный
режим помещения – нормальный.
Условия
эксплуатации ограждающих конструкций
– Б.
Коэффициент
теплоотдачи внутренней поверхности
ограждения аint= 8,7
Вт/м2
·С
.
Коэффициент
теплоотдачи наружной поверхности
ограждения αext= 23 Вт/м2·°С
.
Рис.5
Расчётная схема
Необходимые
данные для теплотехнического расчета
стеновой панели сведены в таблицу.
№ п/п | Наименование |
|
|
| R, |
1 | Железобетон | 2500 | 0,1 | 2,04 | 0,049 |
2 | Пенополистирол | 40 | Х | 0,05 | Х |
3 | Железобетон | 2500 | 0,05 | 2,04 | 0,025 |
Б.
Порядок расчета
Определение
градусо-суток отопительного периода
по формуле (2) СНиП 23-02–2003 :
Dd= (tint– tht)·zht= (18 + 5,9)·229
= 5471,1.
Нормируемое
значение сопротивления теплопередаче
стеновой панели по формуле (1) СНиП
23-02–2003 :
Rreq
=
a·Dd
+ b
=0,0002·5471,1 + 1,0 =2,094 м2·С/Вт.
Для
стеновых панелей индустриального
изготовления следует определить
приведенное сопротивление теплопередаче
Rr
(м2·°С/Вт)
с учетом коэффициента теплотехнической
однородности r.
Согласно
табл. 6 СП 23-101–2004 величина коэффициента
теплотехнической однородности r
для железобетонных стеновых панелей с
утеплителем и гибкими связями составляет
0,7. таким
образом, приведенное сопротивление
теплопередаче
Rr
= Rуслr,
Теплотехнический
расчет ведется из условия равенства
приведенного сопротивления теплопередаче
Rr
(м2·°С/Вт)
и требуемого
Rr= Rreq
Отсюда
Rусл
= 2,094/0,7 = 2,991
м2·°С/Вт.
По
формуле (8) СП 23-101–2004 определяем
термическое сопротивление ограждающей
конструкции Rк:
=
2,991 – (1/8,7 + 1/23) =
=
2,991 – 0,157 = 2,883 м2·°С/Вт.
Термическое
сопротивление ограждающей стеновой
панели может быть представлено как
сумма термических сопротивлений
отдельных слоев, т.е.
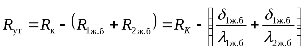
,
где
R1ж.б
и R2ж.б
– термические сопротивления соответственно
внутреннего и наружного слоев из
железобетона;
Rут
– термическое сопротивление утепляющего
слоя.
Находим
термическое сопротивление утепляющего
слоя Rут:
=
=
2,883 – (0,1/2,04 + 0,05/2,04) = 2,883 – 0,073 = 2,76 м2·°С/Вт.
Используя
формулу (6) СП 23-101–2004, определяем толщину
утепляющего слоя:
=
2,76·0,05 = 0,138м.
принимаем
толщину утепляющего слоя равной 150мм.
Общая толщина
стеновой панели составляет
=
100 + 150 + 50 = 300мм, что
соответствует
стандартной толщине стеновой панели.
Определяем
приведённое сопротивление теплопередаче
стеновой панели с учётом принятой
толщины утеплителя
Rr
=
0,7(
1/8,7 + 0,1/2,04 + 0,15/0,05 + 0,05/2,04 + 1/23 ) = 2,262
м2·°С/Вт
УсловиеRr
=2,262 м2·°С/Вт
>Rreq
=2,094 м2·°С/Вт
выполняется.
В.
Проверка выполнения санитарно-гигиенических
требований
тепловой
защиты здания
Проверяем
выполнение условия
.
Определяем
по формуле (4) СНиП 23-02–2003
,
ºС:
∆t
= (tint
– text)/Rraint
= (18+35)/2,262·8,7 = 2,69 °С.
Согласно
табл. 5 СНиП 23-02–2003 ∆tn
= 7 ºС, следовательно, условие ∆t
= 2,69 ºС < ∆tn
= 7 ºС выполняется.
Проверяем
выполнение условия
:
=
18 – [1(18 + 35) / 2,262·8,7]
=
=
18 – 2,69 = 15,31 °С.
Согласно
приложению (Р) СП 23-101–2004 для температуры
внутреннего воздуха tint
= +18 ºС и относительной влажности

= 50 % температура точки росы td
= 7,44 ºС, следовательно, условие
=
выполняется.
Вывод.
Стеновая 3-слойная железобетонная панель
с утеплителем толщиной 150 мм удовлетворяет
нормативным требованиям тепловой защиты
здания.
1.3 Расчет наружной стены на сопротивление воздухопроницанию
Характеристики
рассчитываемой конструкции приведены- рисунок 1 и таблица 1.1:
Сопротивление
воздухопроницанию ограждающих конструкций Rв должно быть не менее
требуемого сопротивления воздухопроницанию Rв.тр, м2×ч×Па/кг, определяемого по
формуле 8.1 [Rв≥Rв.тр]
Расчетную
разность давления воздуха на наружной и внутренней поверхностях ограждающей
конструкции Dp, Па, следует определять по формулам 8.2; 8.3
Н=6.2,
мн=-24, °С, для средней температуры наиболее холодной пятидневки
обеспеченностью 0,92 по таблице 4.3;
vcp=4.0,
м/с, принимаемая по таблице 4.5 ;
rн— плотность наружного воздуха, кг/м³, определяемая по формуле:
сн=+0.8
по приложение 4, Номер схемы 1
сп=-0.6,
при h1/l
=6.2/6= 1.03 и b/l=12/6=2 по приложение 4, Номер схемы 1;

Рисунок
2 Схемы к определению сн,спиki
ki=0.536 (определяется интерполяцией), по Таблица 6, для типа местности
«В» и z=H=6.2 м.
нopм=0,5, кг/(м²·ч), принимаем по таблице 8.1 .

Так
как Rв= 217.08≥Rв.тр=
41.96 то конструкция стены удовлетворяет п.8.1.
1.4 Построение графика распределения температуры в наружной
стене
. Температура воздуха в расчетной точке определяется по формуле 28 :
гдеτn
— температура на внутренней поверхности n-го слоя
ограждения, считая нумерацию слоев от внутренней поверхности ограждения, °С;
— сумма
термических сопротивлений n-1 первых слоев ограждения, м²·°С/Вт.
R — термическое
сопротивление однородной ограждающей конструкции, а также слоя многослойной
конструкции R, м²·° С/Вт,
следует определять по формуле 5.5 ;в — расчетная температура
внутреннего воздуха, °С, принимаемая в соответствии с нормами технологического
проектирования (см. таблица 4.1 );н — расчетная зимняя
температура наружного воздуха, °С, принимаемая по таблице4.3с учетом тепловой
инерции ограждающих конструкций D (за исключением заполнений проемов) по
таблице 5.2 ;
aв — коэффициент теплоотдачи внутренней поверхности
ограждающей конструкции, Вт/(м²×°С),
принимаемый по таблице 5.4.
2.
Определяем тепловую инерцию:
Расчет
приведен в п.2.1Расчет конструкции пола 1-го этажа на сопротивление
теплопередаче (выше):

3.
Определяем среднюю температуру наружного воздуха:н=-26°C — по таблице
4.3 для «Средняя температура трех наиболее холодных суток обеспеченностью
0,92»;в=18˚С (табл. 4.1 );т=2.07 м²·°С/Вт (см. п.2.1);
aв=8.7, Вт/(м²×°С), по
таблице 5.4 ;
.
Определяем температуру на внутренней поверхности ограждения(сечение 1-1):
;
.
Определяем температуру в сечении2-2:
;
.
Определяем температуру в сечении3-3 и 4-4:


.
Определяем температуру в сечении5-5:

.
Определяем температуру в сечении6-6:

.
Определяем температуру наружного воздуха (проверка):

.
Строим график изменения температур:

Рисунок
3 График распределения температур (конструкция см.Рисунок1 и Таблица 1.1.)
2. Теплотехнический расчет конструкции пола 1-го этажа
1 Простые приёмы расчёта
Чтобы отопление в доме было эффективным и качественным, а также были созданы комфортные условия проживания, система должна выполнять две важные функции. Они очень похожи между собой и мало чем отличаются:
- 1. Оптимальная температура воздуха во всём помещении на постоянной основе. Под потолком воздух будет теплее, но разница должна быть незначительная. Согласно общепринятым правилам, оптимальной температурой в помещении считается около +20 градусов Цельсия. Система отопления должна иметь возможность прогреть определённый объём воздуха до необходимой температуры в помещении. Если говорить о юридической стороне вопроса, то все требуемые параметры прописаны в государственных стандартах, а в частности в ГОСТ 30494–96 .
- 2. Компенсирование теплопотерь через элементы здания. К сожалению, тепловые потери являются серьёзным соперником системы отопления. Хотя их и можно минимизировать с помощью хорошей теплоизоляции, но полностью устранить не получится.
Разумеется, чтобы система отопления справлялась со своей основной задачей, она должна иметь запас мощности с учётом теплопотерь. Кроме этого, мощность нужно выбирать с учётом площади помещения и его расположения в здании, а также в соответствии с другими требованиями.
Как правило, рассчитывать эти данные необходимо, начиная с каждой отдельной комнаты, после чего складывать все данные и добавлять 10% запаса для того, чтобы устройство не работало на своих пределах. При этом количество радиаторов в комнате после этого определить несложно, поскольку расчёты имеются по каждой из них.
Самый примитивный способ подсчёта — использование формулы:
Q = Sх 100, где:
- Q — необходимое количество тепла для здания;
- S — площадь помещения;
- 100 — количество мощность в Вт на 1 кв. м.
помещения, а не от её квадратуры
Разумеется, что рассчитывать теперь нужно, отталкиваясь от мощности на один кубический метр, а не квадратный. Таким образом, для кирпичного дома будет достаточно 34 кВт на один кубический метр, а для панельного 41 кВт.
Результат можно получить более точный, так как здесь учитываются не только размеры площади помещения, но и в определённой степени тип стен.
С другой стороны, максимальная точность определяется совсем по-другому. Связано это с упущением многих нюансов, которые влияют на теплопотери.
Определение диаметра труб
Для окончательного определения диаметра и толщины отопительных труб осталось обсудить вопрос относительно потерь теплоты.
Максимальное количество тепла уходит из помещения через стены – до 40%, через окна – 15%, пол – 10%, всё остальное через потолок/крышу. Для квартиры характерны потери в основном через окна и балконные модули
Существует несколько видов потерь теплоты в отапливаемых помещениях:
- Потери давления потока в трубе. Этот параметр прямо пропорционален произведению удельной потери на трение внутри трубы (предоставляет производитель) на общую длину трубы. Но учитывая текущую задачу такие потери можно не учитывать.
- Потери напора на местных трубных сопротивлениях – издержки теплоты на фитингах и внутри оборудования. Но учитывая условия задачи, небольшое количество фитинг-изгибов и число радиаторов, такими потерями можно пренебречь.
- Теплопотери исходя из расположения квартиры. Существует ещё один тип тепловых издержек, но они больше связаны с расположением помещения относительного остального здания. Для обычной квартиры, которая находиться в средине дома и соседствует слева/справа/сверху/снизу с другими квартирами, тепловые потери через боковые стены, потолок и пол практически равны “0”.
В расчёт можно только взять потери через фасадную часть квартиры – балкон и центральное окно общей комнаты. Но это вопрос закрывается за счёт дополнения 2-3 секций к каждому из радиаторов.
Значение диаметра труб подбирают по расходу теплоносителя и скорости его циркуляции в отопительной магистрали
Анализируя выше изложенную информацию, стоит отметить что для рассчитанной скорости горячей воды в системе отопления известна табличная скорость перемещения частиц воды относительно стенки трубы в горизонтальном положении 0,3-0,7 м/с.
В помощь мастеру представляем так называемый чек-лист проведения вычислений для типичного гидравлического расчёта системы отопления:
- сбор данных и расчёт мощности котла;
- объём и скорость теплоносителя;
- потери теплоты и диаметр труб.
Иногда при просчёте можно получить достаточно большой диаметр трубы, что бы перекрыть расчётный объём теплоносителя. Эту проблему можно решить увеличением литража котла или добавлением дополнительного расширительного бака.
На нашем сайте есть блок статей, посвященных расчету отопительной системы, советуем ознакомиться:
- Тепловой расчёт системы отопления: как грамотно сделать расчет нагрузки на систему
- Расчет водяного отопления: формулы, правила, примеры выполнения
- Теплотехнический расчет здания: специфика и формулы выполнения вычислений + практические примеры
Необходимость расчета тепловой мощности системы отопления
Потребность в вычислении тепловой энергии, необходимой для обогрева комнат и подсобных помещений, связана с тем, что нужно определить основные характеристики системы в зависимости от индивидуальных особенностей проектируемого объекта, включая:
- назначение здания и его тип;
- конфигурацию каждого помещения;
- количество жильцов;
- географическое положение и регион, в котором находится населенный пункт;
- прочие параметры.
Расчет необходимой мощности отопления является важным моментом, его результат используют для вычисления параметров отопительного оборудования, которое планируют установить:
- Подбор котла в зависимости от его мощности. Эффективность функционирования отопительной конструкции определяется правильностью выбора нагревательного агрегата. Котел должен иметь такую производительность, чтобы обеспечить обогрев всех помещений в соответствии с потребностями людей, проживающих в доме или квартире, даже в наиболее холодные зимние дни. Одновременно при наличии у прибора избыточной мощности часть вырабатываемой энергии не будет востребована, а значит, некоторая сумма денег потратится напрасно.
- Необходимость согласовывать подключение к магистральному газопроводу. Для присоединения к газовой сети потребуется ТУ. Для этого подают заявку в соответствующую службу с указанием предполагаемого расхода газа на год и оценкой тепловой мощности в сумме для всех потребителей.
- Выполнение расчетов периферийного оборудования. Расчет тепловых нагрузок на отопление необходим для определения длины трубопровода и сечения труб, производительности циркуляционного насоса, типа батарей и т.д.
Гидроизоляция потолка
Тщательно выполненная работа имеют небольшой привкус горечи: сделано всё для того, чтобы не затопить соседей снизу. Для собственной защиты требуется сделать водонепроницаемым потолок ванной комнаты.
Появление пятен на потолке не обязательно говорит о халатности соседей. Конденсат и, как следствие, пятна от высохшей воды, плесень появляется при отсутствии в помещении вентиляции. Это первое, с чего надо начать.
Обеспечить воздушным массам достаточный проход нужно обязательно, вплоть до установки внутриканального вентилятора.
Когда пятна – вина соседей сверху, необходимо обязательно сообщить им об этом, настоять на необходимости ремонта.
После этого приступаем к своему потолку. Здесь также важен системный подход. Герметик должен изолировать бетон, остановить ржавление арматуры, обеспечить водонепроницаемость межэтажных проходов труб из различных материалов.
Проникающая гидроизоляция « Дегидрол» различных марок отвечает всем требованиям. Хорошо работает как с внутренней, так и с наружной стороны. Цементно-полимерная смесь с добавлением функциональных добавок, заполнителя. Сам материал – это порошок, затворяемый водой.
Принцип работы таких материалов: кольматирующие добавки заращивают микротрещины и капилляры. Процесс происходит за счёт влаги, которая имеется в бетоне. При возникновении новых микротрещин заращивание возобновляется.
Дегидрол 7 для изоляции стыков не требует дополнительных материалов. Если пустоты вокруг труб велики, рекомендуется вначале заделать их монтажной пеной.
Единственный относительный недостаток этого продукта – мокрые работы, тщательная подготовка поверхности с предварительным увлажнением.
Но, конечно, достоинства впечатляют. Пакеты по 3 кг: для ванной это идеальная упаковка. Совместим с такими брендами как Бетоноправ, Контацид.
В этой системе есть материал № 3, задача которого – гидроизоляция стен. Это также полезно: если у соседа душ, то вода от него может проникнуть к вам. Напомним, что изоляция стен мастиками на основе битума закончится тем, что плитка, в конце концов, отвалится.
Заключение
Таинство теплотехнического расчета открывает не только возможность в подборе стеновых ограждений: пирог утепленной кровли, полы первого этажа и чердачные перекрытия, всё считается с применением этих формул. Для пола нужно учитывать, что температура в пространстве между землей и полом не опускается ниже +5 градусов, поэтому требуемое сопротивление тепловой защите придется подобрать по-новой.
Станет ли дом тёплым и экономичным зависит только от вас, а в следующей статье мы разберём вопросы: конденсата, точки росы, правильного утепления газобетона и почему в качестве утеплителя стен не стоит использовать пенопласт и пенополистирол.












,
,
,


































